
We will cover: (a) faceting; (b) annotating a plot; (c) manually setting some scales; (d) adjusting some guides (e.g., legends and axis); (e) mathematical expressions in plots.
The contents for (a) to (d) are based on Chapter 1 of the book “R for data science” by Wickham and Grolemun, and on Chapters 5, 6 and 7 of the book “ggplot2: elegant graphs for data analysis” by Hadley Wickham.
mpg datasetmpg1 is a subset of mpg; class refers to “type” of car, and drv type of drive
> # show levels of a factor
> levels(mpg1$class)
[1] "2seater" "compact" "midsize" "minivan"
[5] "pickup" "subcompact" "suv"
> levels(mpg1$drv)
[1] "4" "f" "r"
A data set can be split into subsets based on some criteria. For example, the mileage dataset mpg can be split into 7 subsets according the 7 levels of class, or into 3 subsets according to the 3 levels of drv.
We have already discussed using aesthetics (e.g., color and shape) to compare or visualize subsets. Faceting takes an alternative approach by creating the same graph for each subset/subgroup of a data set and displaying the graphs in a table.
Two types of faceting are provided by ggplot2:
facet_grid produces a 2d grid of panels defined by variables which form the rows and columnsfacet_wrap produces a 1d ribbon of panels that is wrapped into 2dDifference between facet_grid and facet_wrap:

facet_wrapBasic syntax:
facet_wrap(facets, nrow = NULL, ncol = NULL,
scales = "fixed", labeller = "label_value")
The facets can be specified by ~variable or vars(variable)
nrow (or ncol) sets number of rows (or columns) in which graphs are displayed
We will talk about scales and labeller later
Use ?facet_wrap to get more information
mpg data setA quick look at factors drv, cyl, class and manufacturer
> library(ggplot2)
> # obtain levels of `drv`
> levels(mpg$drv)
[1] "4" "f" "r"
>
> unique(mpg$cyl)
[1] 4 6 8 5
>
> levels(mpg$class)
[1] "2seater" "compact" "midsize" "minivan"
[5] "pickup" "subcompact" "suv"
>
> levels(mpg$manufacturer)
[1] "audi" "chevrolet" "dodge" "ford"
[5] "honda" "hyundai" "jeep" "land rover"
[9] "lincoln" "mercury" "nissan" "pontiac"
[13] "subaru" "toyota" "volkswagen"
Note how levels of a factor are ordered.
facet_wrap: illustrationPlot displ versus hwy for each level of class via faceting with rowwise layout:
> # build a base layer
> p1= ggplot(data = mpg)+
+ geom_point(mapping = aes(x = displ, y = hwy))
>
> # add faceting via `class` to p1
> p2 = p1 + facet_wrap(~class, nrow = 2)
~class; class has 7 levelsnrow specifies in how many rows the plots should be displayedfacet_wrap: illustration> p2

facet_wrap: illustration> p1 + facet_wrap(vars(class), nrow = 2)

> # Same as: p1 + facet_wrap(~class, nrow = 2)
facet_wrap: illustrationPlot displ versus hwy for each level of class via faceting with columnwise layout:
> p1= ggplot(data = mpg)+
+ geom_point(mapping = aes(x = displ, y = hwy))
>
> p2a = p1 + facet_wrap(vars(class), ncol = 3)
var(class), equivalent to ~class; class has 7 levelsncol specifies in how many columns the plots should be displayedfacet_wrap: illustration> p2a

facet_wrap: illustration> # Plot `displ` versus `hwy`, faceting via `cyl` and `drv`
> ggplot(mpg,aes(x=displ,y=hwy))+geom_point()+
+ facet_wrap(cyl~drv)

facet_gridfacet_grid forms a matrix of panels defined by row and column faceting variables. Basic syntax:
facet_grid(rows = NULL, cols = NULL,
scales = "fixed",labeller = "label_value")
rows (or cols): variables that define faceting groups on the row (or column) dimension
rows = NULL, cols = NULL takes the form of variable1 ~ variable2, .~ variable2 or variable1 ~.
Use ?facet_grid to obtain details
Plot displ versus hwy, faceting with drv columnwise:
> p1+ facet_grid(. ~ drv)

Plot displ versus hwy, faceting with drv rowwise:
> p1+ facet_grid(drv ~ .)

Plot displ versus hwy, faceting with drv and cyl:
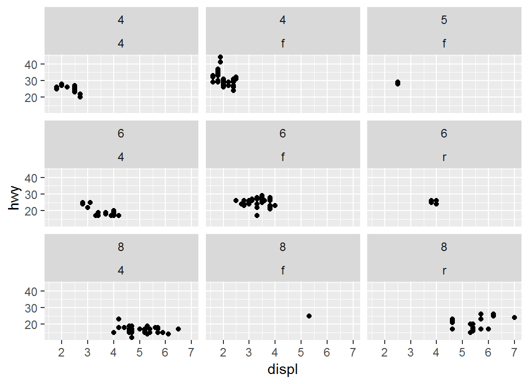
> p1+ facet_grid(drv ~ cyl)

Recap on mpg data set:
# A tibble: 6 x 6
manufacturer displ class drv cyl hwy
<fct> <dbl> <fct> <fct> <int> <int>
1 audi 1.8 compact f 4 29
2 audi 1.8 compact f 4 29
3 audi 2 compact f 4 31
4 audi 2 compact f 4 30
5 audi 2.8 compact f 6 26
6 audi 2.8 compact f 6 26
Plot displ versus hwy, faceting with drv and cyl, coloring points by class, assigning shapes by manufacturer ( chevrolet or toyota):
> mpg1 = mpg %>%
+ filter(manufacturer %in% c("chevrolet","toyota"))
>
> p1c = ggplot(mpg1, aes(x = displ, y = hwy))+theme_bw()+
+ geom_point(aes(colour=class,shape=manufacturer))+
+ facet_grid(drv~cyl)
Note: in mpg1, a combination of distinct levels or values of class, manufacturer, drv, and cyl may not have any observation
> p1c

Sometimes one would like to annotate a plot to make it more informative. There are two commands for this purpose:
geom_text() adds text directly to a plotgeom_label() draws a rectangle around textBasic syntax:
geom_text(mapping = NULL, data = NULL,
parse=FALSE, inherit.aes = TRUE)
geom_label(mapping = NULL, data = NULL,
parse=FALSE, inherit.aes = TRUE)
mapping: set of aesthetic mappings created by aes(); if specified and inherit.aes = TRUE (the default), mapping is combined with the default mapping at the top level of the plotmapping must be supplied if there is no plot mappingBasic syntax (continued):
data: data to be displayed in this layer; if NULL, the default, data are inherited from the plot data as specified in the call to ggplot()
parse: if TRUE, labels will (often) be parsed into (math) expressions; FALSE by default
Use ?geom_text and geom_label to get more information
mpg data set> head(mpg %>% select(class,drv,cyl,hwy))
# A tibble: 6 x 4
class drv cyl hwy
<fct> <fct> <int> <int>
1 compact f 4 29
2 compact f 4 29
3 compact f 4 31
4 compact f 4 30
5 compact f 6 26
6 compact f 6 26
> levels(mpg$drv)
[1] "4" "f" "r"
> unique(mpg$cyl)
[1] 4 6 8 5
> levels(mpg$class)
[1] "2seater" "compact" "midsize" "minivan"
[5] "pickup" "subcompact" "suv"
geom_label: illustrationPlot displ vs hwy and annotate each pair of observations from “(displ,hwy)” by cyl type
> # build base layer
> p = ggplot(mpg,aes(displ,hwy))
>
> # add label via `cyl`; "label" is an aesthetic
> p1 = p +geom_label(aes(label=cyl),nudge_x = 0.05)
>
> # `nudge_x` horizontally adjusts labels to offset
> # text from points
aes(label=cyl) in geom_label, aes(displ,hwy) in ggplot, and non-existence of geom_... for ggplotnudge_y: vertically adjusts labelsgeom_label: illustration> p1

geom_label: illustration> # Color `label` via `class`
> p+geom_label(aes(label=cyl,color = class))

geom_text: illustrationPlot displ vs hwy and annotate each pair of observations from “(displ,hwy)” by cyl type
> q = ggplot(mpg,aes(displ,hwy))+geom_text(aes(label=cyl))
aes(label=cyl) in geom_text, aes(displ,hwy) in ggplot, and non-existence of geom_... for ggplotcompare the above command with
ggplot(mpg,aes(displ,hwy))+geom_label(aes(label=cyl))geom_text: illustration> q

geom_text: illustration> # Color `label` by `class`
> ggplot(mpg,aes(displ,hwy))+
+ geom_text(aes(label=cyl,colour = class))

annotateannotate adds geometric objects to a plot. But unlike a typical geom function, properties of the geometric objects are not mapped from variables of a data frame. Instead, they are passed in as vectors.
This is useful for adding small annotations (such as text labels), or if data in vectors instead of data frame need to be added.
annotateBasic syntax:
annotate(geom, x = NULL, y = NULL,xmin = NULL, xmax = NULL,
ymin = NULL, ymax = NULL)
geom: name of object to use for annotation, such as “text” or “segment”
x, y, xmin, ymin, xmax, ymax: positioning aesthetics, at least one of which must be specified
Use ?annotate to get more information on annotate
annotateFor annotating using text, use the following:
annotate("text",x=NULL,y=NULL,label=NULL)
for which the lengths of x, y and label must be compatible
For annotating using a rectangle, use the following:
annotate("rect", xmin = NULL, xmax = NULL,
ymin = NULL, ymax = NULL)There are other choices as annotations, use ?annotation to get more information
annotate: illustrationPlot displ vs hwy and add annotation “Some text”:
> # create base layer
> p = ggplot(mpg, aes(x = displ, y = hwy)) + geom_point()
>
>
> # add annotation "Some text" at positions
> #(2,25), (3,25), (4,25) and (5,25)
> p1 = p + annotate("text", x = 2:5, y = 25,
+ label = "Some text")
geom_point() for ggplotx = 2:5, y = 25 give labels positions (2,25), (3,25), (4,25) and (5,25) in coordinatesannotate: illustration> p1

annotate: illustrationPlot displ vs hwy and add rectangle as annotation:
> # add a rectangle via "rect" whose size is determined
> # by `xmin`, `xmax`, `ymin` and `ymax`
>
> p2 = p + annotate("rect", xmin = 3, xmax = 4.2,
+ ymin = 12, ymax = 21, alpha = .2)
>
> # `alpha` controls the degree of transparency of
> # annotation; it can also control the transparency
> # of ggplot2 geometric objects
annotate: illustration> p2

annotate: illustrationPlot displ vs hwy and add a math expression as annotation:
> p2 = p + annotate("text", x = 4, y = 40,
+ label = "italic(R) ^ 2 == 0.75",
+ parse = TRUE)
>
> # `parse` converts the string "italic(R) ^ 2 == 0.75" into
> # a mathematical expression using latex syntax;
italic(R) sets the font of “R” to be italic; ^2 sets 2 as superscriptx = 4, y = 40 sets the position of annotation at coordinates (4,40)annotate: illustration> p2

> sessionInfo()
R version 3.5.0 (2018-04-23)
Platform: x86_64-w64-mingw32/x64 (64-bit)
Running under: Windows 7 x64 (build 7601) Service Pack 1
Matrix products: default
locale:
[1] LC_COLLATE=English_United States.1252
[2] LC_CTYPE=English_United States.1252
[3] LC_MONETARY=English_United States.1252
[4] LC_NUMERIC=C
[5] LC_TIME=English_United States.1252
attached base packages:
[1] stats graphics grDevices utils datasets methods
[7] base
other attached packages:
[1] ggplot2_3.1.0 knitr_1.21
loaded via a namespace (and not attached):
[1] Rcpp_1.0.0 rstudioapi_0.8 bindr_0.1.1
[4] magrittr_1.5 tidyselect_0.2.5 munsell_0.5.0
[7] colorspace_1.3-2 R6_2.3.0 rlang_0.3.0.1
[10] dplyr_0.7.8 stringr_1.3.1 plyr_1.8.4
[13] tools_3.5.0 revealjs_0.9 grid_3.5.0
[16] gtable_0.2.0 xfun_0.4 withr_2.1.2
[19] htmltools_0.3.6 assertthat_0.2.0 yaml_2.2.0
[22] lazyeval_0.2.1 digest_0.6.18 tibble_1.4.2
[25] crayon_1.3.4 bindrcpp_0.2.2 purrr_0.2.5
[28] glue_1.3.0 evaluate_0.12 rmarkdown_1.11
[31] labeling_0.3 stringi_1.2.4 compiler_3.5.0
[34] pillar_1.3.1 scales_1.0.0 pkgconfig_2.0.2